Global solution of reaction diusion system with full matrix
-
https://doi.org/10.14419/gjma.v3i3.4683
Received date: April 25, 2015
Accepted date: May 25, 2015
Published date: June 21, 2015
-
Global Existence, Reaction Diffusion Systems, Lyapunov Functional. -
Abstract
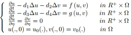
The purpose of this paper is to prove the global existence in time of solutions for the strongly coupled reaction-diffusion system:
with full matrix of diffusion coefficients. Our techniques of proof are based on Lyapunov functional methods and some \(L^{p}\) estimates. we show that global solutions exist. Our investigation applied for a wide class of the nonlinear terms f and g. -
References
[1] N. Alikakos, LP bounds of solutions of reaction-diffusion equations, Comm. Partial Differential Equations 4 (1979), 827--828.
[2] H. Amann, Dynamic theory of quasilinear parabolic equations - I. Abstract evolution equations, Nonlinear Anal. 12 (1988), 895-919.
[3] S. Bonaved, D. Schmitt, Triangular reaction-diffusion systems with integrable initial data, Nonlinear. Anal 33 (1998), 785--801.
[4]K. Boukerrioua,existence of global solutions for a system of reaction-diffusion equations having a full matrix Ser. Math. Inform. Vol. 29, No 1 (2014), 91--103
[5] T. Diagana, Some remarks on some strongly coupled reaction-diffusion equations, J.Reine. Angew., 2003.
[6] R. Fisher, The advance of advantageous genes, Ann. Eugenics 7 (1937), 335--369.
[7] H. Fujita, On the blowing up of solutions to the Cauchy problem for ∂u/∂t=Δu+u^{^{(σ+1)}} J. Fac. Sci. Univ. Tokyo Sect. A Math. 16 (1966), 105--113.
[8] A. Haraux, M. Kirane, Estimation C1 pour des problèmes paraboliques semi-linéaires,Ann. Fac. Sci. Toulouse Math. 5 (1983), 265--280.
[9] A. Haraux, A. Youkana, On a result of K. Masuda concerning reaction-diffusion equations, Tohoku. Math. J. 40 (1988), 159--163.
[10] D. Henry, Geometric Theory of Semilinear Parabolic Equations, Lecture Notes in Math., 840, Springer Verlag, New York, 1981.
[11] S. L. Hollis, R. H. Martin, M. Pierre, Global existence and boundedness in reaction diffusion systems, SIAM. J. Math. Anal. 18(3) (1987), 744--761.
[12] J. I. Kanel and M. Kirane, Pointwise a priori bounds for a strongly coupled system of reaction-diffusion equations with a balance law, Math. Methods Appl. Sci. 21 (1998), 1227-1232.
[13] I. Kanel, M. Kirane, Global existence and large time behavior of positive solutions to a reaction diffusion system, Differ. Integral Equ. Appl. 13(1--3) (2000), 255--264.
[14] S. Kouachi, Global existence of solutions to reaction diffusion systems via a Lyapunov functional, Electron. J. Differential Equations (68) (2001), 1--10.
[15] S. Kouachi, Global existence of solutions for reaction-diffusion systems with a full matrix of diffusion coe cients and nonhomogeneous boundary conditions,Electron. J. Qual. Theory Di er. Equ. 4 (2002), pp. 1-10.
[16] S. Kouachi, Global existence of solutions in invariant regions for reaction-diffusion systems with a balance law and a full matrix of di usion coe cients,Electron. J. Qual. Theory Differ. Equ. 2 (2003), pp. 1-10.
[17] S. Kouachi, Invariant regions and global existence of solutions for reaction-diffusion systems with full matrix of diffusion coefficients and nonhomogeneous boundary conditions, Georgian Math. J. 11 (2004), 349-359.
[18] S. Kouachi, A. Youkana, Global existence and asymptotics for a class of reaction diffusion systems, Bull. Polish Acad. Sci. Math. 49(3), 2001.
[19] R. H. Martin, M. Pierre, Nonlinear reaction-diffusion systems, in: Nonlinear Equations in the Applied Sciences, Math. Sci. Eng. Acad. Press, New York 1991.
[20] K. Masuda, On the global existence and asymptotic behavior of solutions of reaction diffusion equations, Hokkaido Math. J. 12 (1983), 360--370.
[21] A. Moumeni, L. Salah Derradji, Global existence of solution for reaction diffusion systems, IAENG, Int. J. Appl. Math. 40(2) (2010), 84--90.
[22] A. Moumeni, L. Salah Derradji, Global existence of solution for reaction diffusion Systems with non diagonal matrix, Demonstratio Mathematica, Vol. XLV No 1( 2012 ).
[23] J. D. Murray, Mathematical Biologie, 3rd ed., Interdisciplinary Applied Mathematics,Springer Verlag, 2002.
[24] A. Pazy, Semigroups of linear operators and applications to partial differential equations,Applied Mathematical Siences, Springer--Verlag, New York, 1983.
[25] M. Pierre, D. Schmitt, Blow up in reaction-diffusion systems with dissipation of mass,SIAM. J. Math. Anal. 42(1) (2000), 93--106.
[26] B. Rebiai and S. Benachour, Global classical solutions for reactiondiffusion systems with nonlinearities of exponential growth, J. Evol. Equ.10 (2010), 511--527
[27] F. Roth, Global solutions of reaction diffusion systems, Lecture Notes in Math. 1072,Springer Verlag, Berlin, 1984.
-
Downloads
Additional Files
-
How to Cite
Maroua, M., & Abdelkader, M. (2015). Global solution of reaction diusion system with full matrix. Global Journal of Mathematical Analysis, 3(3), 109-120. https://doi.org/10.14419/gjma.v3i3.4683
